Modérateurs: Modération Forum Haute-Fidélité, Le CA de l’Association HCFR • Utilisateurs parcourant ce forum: Bing [Bot] et 31 invités

Les Lecteurs CD & SACD

Comparatif en lecture CD par la revue allemande Stereo

Message » 04 Juil 2007 0:21

Je poursuit mon travail "encyclopédique" en fournissant un tableau qui reprend les mesures sur deux lecteurs Sony, le SCD-1 et le SCD-555ES, effectuées par la revue allemande Stereo.

Les mesures concernent la lecture des CD.

Pour comparaison, je reproduis aussi les mesures sur trois convertisseurs de haute technicité testés par la même revue.

Les mesures sont issues des numéros d'octobre 1999 et mars 2001 de la revue Stereo.


Image
Fichiers joints
Tableau comparatif de lecteur de CD selon la revue Stereo.jpg
N.R. = Non Renseigné
Tableau comparatif de lecteur de CD selon la revue Stereo.jpg (92.61 Kio) Vu 585 fois
Scytales
 
Messages: 11576
Inscription Forum: 31 Mar 2002 2:00
  • offline

Message » 04 Juil 2007 19:27

En tout cas, bravo, tu es le seul à chercher des doc sur les platines Sony. :wink:

J'aime toujours autant ma platine.
ozata1
 
Messages: 2389
Inscription Forum: 29 Jan 2006 20:04
  • offline

Message » 05 Juil 2007 9:26

ozata1 a écrit:En tout cas, bravo, tu es le seul à chercher des doc sur les platines Sony. :wink:

J'aime toujours autant ma platine.


Merci Scytales pour ce document. La SCD 555ES me ravi toujours autant, à ceci pret qu'elle patine de plus en plus frequemment pour reconnaître les CD (même des CD neufs!!).
Je crois que le SAV la guette....Par contre, elle est royale avec mon dernier casque, le stax OmegaII.

Olivier
oso
 
Messages: 1477
Inscription Forum: 17 Juin 2003 16:23
Localisation: Nice
  • offline

Message » 05 Juil 2007 17:26

En tous cas, Sony s'est faire de belles platines esthétiquement et en plus elles fonctionnent royalement bien.

J'ai pu comparé ma platine à celle de même catégorie et elle en resort toujours vainqeur .
ozata1
 
Messages: 2389
Inscription Forum: 29 Jan 2006 20:04
  • offline

Message » 08 Juil 2007 16:38

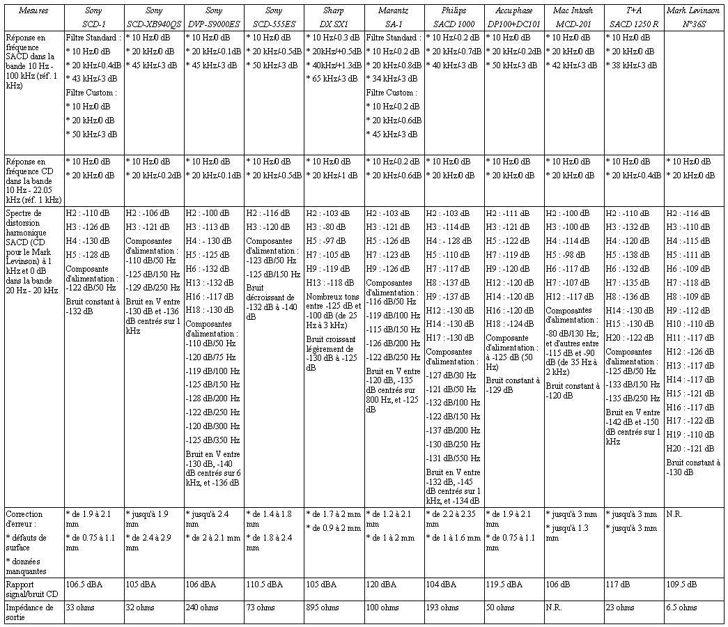
Autre tableau qui reprend les mesures sur les tous premiers lecteurs de SACD, mesures effectuées par la revue allemande Stereoplay.

Elles concernent tant la lecture des SACD et que des CD.

Pour comparaison, je reproduis aussi les mesures sur deux lecteurs de SACD plus récents, un Mac Intosh et un T+A, ainsi qu'un lecteur de CD prestigieux provenant de Mark Levinson, tous testés par la même revue.

Les mesures sont issues des numéros de juillet 1997, février 2001, mai 2006 et avril 2007 de la revue Stereoplay.

Image
Fichiers joints
Tableau comparatif de lecteurs de SACD selon la revue Stereoplay.jpg
N.R.=non renseigné
réf.=référence
Tableau comparatif de lecteurs de SACD selon la revue Stereoplay.jpg (226.56 Kio) Vu 579 fois
Scytales
 
Messages: 11576
Inscription Forum: 31 Mar 2002 2:00
  • offline

Message » 02 Aoû 2007 14:46

On pourrait croire que les puces dont je parle plus haut, notamment le filtre numérique CXD8762, sont apparus avec les lecteurs SACD deux canaux.

C'est ce que je pensais, jusqu'à ce que j'examine plus en détail les pages de ce site très connu sur les lecteurs Sony ES. Ce site liste notamment les puces qui équipaient les lecteurs Sony dans des pages parfois étoffées par moultes photographies.

Les mentions de ce cite confirment que le convertisseur courant/tension CXA8042 était présent de déjà longue date dans les lecteurs CD Sony de haut de gamme. Comme cette puce n'intervient qu'après les traitements numériques et ne joue un rôle que pour améliorer la forme des impulsions, cette antériorité n'a pas grande signification.

Ce qui est en revanche étonnant, c'est que, d'après les données de ce site, le couple CXD8762/CXD8594 serait apparu pour la première fois non dans les SCD-1/SCD-777ES, mais dans le lecteur de CD CDP-XA55ES de 1998 !

En googlant, je suis tombé sur le manuel de maintenance du lecteur de minidisc MDS-JA555ES, daté d'août 1999. Ce document montre que le couple CXD8762/CXD9521, monté dans le SCD-555ES, était déjà mis en oeuvre à son époque. A l'examen des schémas électroniques et des formes d'ondes figurant dans les manuels de maintenance des deux appareils concernés, on apprend plusieurs choses intéressantes.

D'abord, le couple CXD8762/CXD9521 peut fonctionner à 2 fois la fréquence d'échantillonnage du DSD (128fs, avec fs=44.1 kHz, soit environ 5.6 MHz). Mais alors que les puces du lecteur de minidisc tournent à 128fs, celles du lecteur de SACD SCD-555ES ne tournent qu'à 64fs.

Ensuite, le filtre numérique CXD8762 était "DSD-ready" avant le lancement effectif du SACD. Lorsqu'on regarde le diagramme schématique de ce filtre (ci-dessous reproduit), on constate que les portes n°51 à 53 servent respectivement au signal d'horloge et aux données DSD des canaux de droite et de gauche. Ces portes donnent sur un bloc de test qui dirige les données (par un chemin de signal de 4 bits, et non 1 bit!?) vers un modulateur de largeur d'impulsion (PWM) encadré par deux sélecteurs. Le PWM permet d'utiliser la puce comme un convertisseur numérique analogique intégré, mais dans les lecteurs ES, ce bloc PWM est court-circuité. Dans le JA555ES, les portes d'entrée du signal DSD ainsi que les portes qui commendent les blocs de fonctions liés au DSD sont simplement mises à la masse (elles sont donc inutilisées).

Enfin, le fait que ces puces "DSD-ready" aient été conçues et montées dans le haut de gamme numérique de Sony avant l'avènement du SACD suggère que, contrairement à une idée reçue propagée lors du lancement des lecteurs SACD Sony deux canaux, la fonction "CD" n'a pas été considérée comme la 5e roue du carosse des lecteurs SACD, encore moins volontairement sabotée pour faire briller le SACD.

En conclusion, on peut dire plus que jamais que, même à l'aube de leur existence, les lecteurs de SACD n'étaient finalement que des lecteurs de CD qui lisaient aussi les SACD. On pourrait presque dire en quelque sorte qu'ils "laissaient passer" le signal DSD à travers leurs circuits numériques. Ce n'était donc vraiment pas des appareils faisant cohabiter deux circuits différents, l'un pour les CD, l'autre pour les SACD, dans une usine à gaz complexe et coûteuse.

On peut également tenter de formuler la proposition suivante : l'essentiel de la différence entre CD et SACD, du moins pour les appareils Sony, vient soit du disque lu, soit de la nature de chaque procédé en lui-même. Il serait très intéressant à cet égard d'avoir des mesures de ces lecteurs sur une grande variété de signaux, à haut comme à bas niveaux, pour avoir des données permettant de connaître ce qui distingue l'un de l'autre.
Fichiers joints
CXD8762.jpg
CXD8762.jpg (69.94 Kio) Vu 2316 fois
Dernière édition par Scytales le 02 Aoû 2007 19:33, édité 2 fois.
Scytales
 
Messages: 11576
Inscription Forum: 31 Mar 2002 2:00
  • offline

Message » 02 Aoû 2007 18:02

Encore une fois, tu mérites en un grand bravo.

Tu découvres vraiment des choses intéressantes.

Mais si ces puces DSD "dormante" était déjà existante à l'époque, il aurait pu s'en servir pour pour convertir le PCM en DSD un peu à la manière de DCS.
ozata1
 
Messages: 2389
Inscription Forum: 29 Jan 2006 20:04
  • offline

Message » 02 Aoû 2007 19:20

Mais c'est ce qui est fait, d'une certaine façon !

Dans le CXD8762, tu vois le bloc "digital filter" ? C'est ce bloc qui surééchantillonne les données PCM lues sur un CD à 176,4 kHz ou bien 352,8 kHz, selon le filtre sélectionné ; en sortie, les données sont requantifiées sur 24 bits.

Après ce bloc, tu en vois un autre "Linear Interpollator - Noise Shaper". Ce bloc est un modulateur delta-sigma ; il transforme la modulation PCM qui y entrent en modulation delta-sigma, apparemment du delta-sigma multibit. Le fait que la puce sorte du delta-sigma multibit est consistant avec le fait que la puce suivante contienne des DAC de type PWM : l'ensemble fait diantrement penser à une conversion de type MASH. A moins qu'il y ait un "truc" à propos de ce chemin en 4 bits, un peu dans le genre de ce que Sony faisait dans son convertisseur DAS-R1. On manque d'information sur ces puces Sony.

Enfin, l'important est de retenir que DSD=delta-sigma et qu'en tout état de cause on faisait, pour les CD, de la conversion de type delta-sigma avant le DSD ! Et apparemment, Sony avait prévu de franchir le pas de se passer de l'étape PCM depuis un moment, puisque ses propres puces delta-sigma avaient "provisionné" un chemin "direct" pour des données qui seraient déjà en delta-sigma.
Scytales
 
Messages: 11576
Inscription Forum: 31 Mar 2002 2:00
  • offline

Message » 02 Aoû 2007 19:57

Est ce que cette conversion était elle mise en avant à l'époque ?

En prenant exemple sur ma platine XA9000ES, j'ai pu comprendre qu'il suréchantillonne le PCM 8x ( c'est à dire en 24 bits 354Khz ? ) puis la conversion en 1 bit à 2.8 Mhz, une sorte de DSD, cette fameuse puce ?
ozata1
 
Messages: 2389
Inscription Forum: 29 Jan 2006 20:04
  • offline

Message » 02 Aoû 2007 22:47

L'apparition de la conversion delta-sigma dans les lecteurs de CD s'est accompagnée de son cortège de promotion.

Philips vantait son procédé Bitstream, du vrai 1 bit à haute fréquence (8.47 Mhz), qui a été porté au pinacle avec un système de trois puces successives : un filtre numérique à sortie 20 bits, un modulateur delta-sigma (Philips SAA7350), et enfin des TDA1547, qui sont les convertisseurs numérique/analogique.

Matsushita/Technics promouvait son procédé MASH, mis au point, dit-on, avec la NTT (Nippon Telephone and Telegraph), et vraissemblablement également utilisé par Sony. La modulation delta-sigma à la MASH consiste à "cascader" plusieurs modulateurs 1 bit ; la cascade sort finalement du delta-sigma multibit (à ne pas confondre avec du PCM) qui est converti en analogique par un modulateur de largeur d'impulsion (PWM). Technics collait la mention "MASH" sur ses lecteurs, et Sony mettait une mention "Pulse D/A Converter" en façade des siens.

Pratiquement tous les autres fondeurs de puces (en tout cas que je connais) : Burr Brown, Crystal (Cirrus Logic), Analog Devices, Nippon Precision Circuit, Wolfson, AKM, finirent par fabriquer uniquement des convertisseurs delta-sigma, ce qui permettait aux petits ou moyens fabriquants qui les utilisaient de proclamer parfois que leurs lecteurs étaient "1 bit".

Je n'ai pas connu cette époque, je ne la vois que d'un point de vue historique, mais il semble bien que le "1 bit" ait été une mode porteuse.

La platine Sony SCD-XA9000ES utilise des convertisseurs calqués sur un Burr Brown, soit le PCM1738 ou ses dérivés, soit le DSD1792 ou ses dérivés, mais rebaptisés CXD9657N. Je me souviens encore des débats animés avec anthonyanthony pour savoir si cette puce CXD9657 était une "pure" Sony ou une Burr Brown. :oops:

Tout est fait dans cette puce : le filtrage numérique 8x et la conversion, qui, d'après anthonyanthony, est un hybride de multibit et de delta-sigma. Le filtre numérique de suréchantillonnage a une résolution théorique de 24 bits. Le DSD est également traité dans cette puce par un filtre numérique passe-bas. Il y a plusieurs types de filtres disponibles pour ce faire, mais l'utilisateur de la puce doit "en choisir un au montage".

En revoyant la documentation technique du PCM1738 (téléchargeable en ligne), je me rends compte que le filtre numérique intégré a des spécifications (réjection d'image ; ondulation) qui, quoique supérieures à celles des filtres intégrés dans des convertisseurs un peu anciens, sont quant même inférieures aux specs des meilleurs filtres numériques spécialisés de NPC, Burr Brown ou Sony, même très vieux : près de vingt ans, le moyen âge numérique ! Et pourtant !

Par contre, le DSD1792 a un filtre numérique encore plus performant que le plus performants des Sony dont je connaisse quelques spécifications, le CXD1144. C'est lui qui a vingt ans, et qui ne se fait que précéder de peu par le filtre interne du DSD1792 !

Duquel de ces deux Burr Brown le CXD9657N est-il issu ? Je n'en sais rien.

En tout cas, voilà quelque chose dont je ne m'étais jamais rendu compte : même des convertisseurs récents peuvent avoir des circuits pour partie moins performants (en tout cas sur le papier des spécifications des fabriquants) que d'autres plus anciens.

Quant à ceux qui se poseraient la question, je n'ai trouvé aucune spécification des performances du filtre CXD8762. Mais comme sa puissance semble supérieure à celle du CXD1144 (d'après Sony : calcul sur 24 bits, coefficients pouvant aller jusqu'à 29 bits, jusqu'à 225 ordres, 512 étapes d'opération, contre respectivement calcul sur 22 bits, coefficient de 28 bits, et 293 ordres, spec. données dans la revue The Audio Critic, n°15 et n°21), il ne doit pas être moins bon.
Dernière édition par Scytales le 20 Oct 2007 9:11, édité 3 fois.
Scytales
 
Messages: 11576
Inscription Forum: 31 Mar 2002 2:00
  • offline

Message » 02 Aoû 2007 23:40

Par hasard ne correspondraient-ils pas à 2 gammes différentes ?
Parce que si je me souviens bien il y avait 2 gammes: une pour les appareils portables et une un peu plus "haut de gamme". J'ai eu la surprise de trouver dans de nombreux lecteurs de salons les convertisseurs de la gamme mobile...
De la même façon, tu pouvais aussi avoir le filtrage intégré ou séparé par puce spécialisée
nidsee
 
Messages: 2153
Inscription Forum: 24 Déc 2006 20:42
Localisation: Terre
  • offline

Message » 02 Aoû 2007 23:57

nidsee a écrit:Par hasard ne correspondraient-ils pas à 2 gammes différentes ?
Parce que si je me souviens bien il y avait 2 gammes: une pour les appareils portables et une un peu plus "haut de gamme". J'ai eu la surprise de trouver dans de nombreux lecteurs de salons les convertisseurs de la gamme mobile...
De la même façon, tu pouvais aussi avoir le filtrage intégré ou séparé par puce spécialisée


Je ne comprends pas à quoi se rapporte ta question, ni à qui elle est posée ?
Scytales
 
Messages: 11576
Inscription Forum: 31 Mar 2002 2:00
  • offline

Message » 03 Aoû 2007 0:04

Scytales a écrit:
nidsee a écrit:Par hasard ne correspondraient-ils pas à 2 gammes différentes ?
Parce que si je me souviens bien il y avait 2 gammes: une pour les appareils portables et une un peu plus "haut de gamme". J'ai eu la surprise de trouver dans de nombreux lecteurs de salons les convertisseurs de la gamme mobile...
De la même façon, tu pouvais aussi avoir le filtrage intégré ou séparé par puce spécialisée


Je ne comprends pas à quoi se rapporte ta question, ni à qui elle est posée ?


Tu t'étonnais sur les spécifications du PCM1738 par rapport à celles de filtres plus anciens. Je te demandais à quelle utilisation le conseillait BB par rapport par exemple à un DSD1792.
nidsee
 
Messages: 2153
Inscription Forum: 24 Déc 2006 20:42
Localisation: Terre
  • offline

Message » 03 Aoû 2007 0:51

Je comprends, maintenant.

Les documents techniques des deux puces de Burr Brown contiennent le même champ d'application (ampli Audio-vidéo, lecteurs de DVD, de SACD, car-audio, etc.), sans mentionner les appareils portables.

Leurs prix sont, d'après le site de Texas Instruments (maison mère de Burr Brown) : $11.75 pour 1000 DSD1792 achetés, $6.5 pour 1000 PCM1738 achetés dans les bonnes crèmeries où on trouve encore en stock cette puce, qui n'est plus fabriquée.

Pour réagir au reste de ta précédente intervention, je dirais que le bien faire dans les lecteurs de salon grand public est laissée à la volonté des clients des fondeurs, c'est évident.

Une précision tout de même : les performances du filtre numérique intégré du PCM1738 ne parraissent pas mauvaises. Elles sont justes significativement moins bonnes que l'état de l'art.

Mais c'est quand même intéressant à noter. Sony, par exemple, dans sa gamme ES, met depuis 1984 systématiquement en oeuvre la solution du filtre séparé, et cela semble s'être accompagné d'un effort pour rendre ces filtres performants. Cette "tradition" ne s'est arrêtée qu'à partir des premiers lecteurs SACD multicanaux.

En tout cas, je trouve intéressant de regarder, dans la mesure de ma compréhension, si un fabriquant de matériel hi-fi a fait quelques efforts pour prendre les puces les plus performantes du catalogue d'un fondeur, pour bien les mettre en oeuvre, et mettre le tout en relation avec le prix. C'est un exercice de salubrité sur un marché qui dérape parfois vers le déraisonnable. :)
Dernière édition par Scytales le 03 Aoû 2007 1:22, édité 1 fois.
Scytales
 
Messages: 11576
Inscription Forum: 31 Mar 2002 2:00
  • offline

Message » 03 Aoû 2007 1:16

Scytales a écrit: Ce qui est en revanche étonnant, c'est que, d'après les données de ce site, le couple CXD8762/CXD8594 serait apparu pour la première fois non dans les SCD-1/SCD-777ES, mais dans le lecteur de CD CDP-XA55ES de 1998 !

Salut Scytales,

Encore bravo pour tes recherches.

As tu trouvé quel couple était dans les deux premières machines apparues à l’Audio Fair 97 de Tokyo en octobre 1997, lors de la présentation du prototype enregistreur Sony (une grosse bécane…) et d’un lecteur DSD sur le stand Accuphase ?


A +.
Gérard.
Alpes94
 
Messages: 3797
Inscription Forum: 16 Avr 2002 1:08
Localisation: Val de Marne (94)
  • offline


Retourner vers Lecteurs CD & SACD

 
  • Articles en relation
    Dernier message